Milli Eğitim Bakanlığı 4 bin 250 büro personeli alımı başvuru süreci devam ediyor. ÖSYM resmi sayfasından KPSS 2023/4 tercih kılavuzunun yayımlanmasıyla MEB’e 5 bin sözleşmeli personel alımı yapılacağına yer verildi. Milli Eğitim Bakanlığı büro personeli alımı başvuruları 24.3.2023 tarihi itibarıyla Türkiye İş Kurumu resmi sayfası üzerinden alınıyor. Başvurular 30.3.2023 tarihinde sona erecek.
Güncel işçi, memur ve sözleşmeli personel alımlarını anlık takip için TIKLA KATIL.
4 BİN 250 BÜRO PERSONELİ ALIMI ŞARTLARI
GENEL ŞARTLAR
2.1.1 İlan edilen pozisyonlara yerleştirilmek üzere tercih yapanların, 657 sayılı Kanunun 4’üncü maddesinin (B) fıkrası ile aynı Kanunun 48’inci maddesi ve 06.06.1978 tarihli ve 7/15754 sayılı Bakanlar Kurulu Kararı ile yürürlüğe konulan Sözleşmeli Personel Çalıştırılmasına Dair Esasların Ek 1’inci maddesindeki şartları da taşımaları gerekmektedir.
2.1.2 Başvurma genel ve özel şartları ile anılan Kanun ve Esaslarda belirtilen şartların herhangi birini taşımayan, yerleştirildiği pozisyonun niteliklerine sahip olmayan, aranan nitelik ve şartları taşıdığı halde istenen belgeleri süresi içerisinde getirmeyen adayların yerleştirilmeleri yapılmış olsa dahi atamaları yapılmayacaktır.
2.1.3 Sözleşmeli Personel Çalıştırılmasına İlişkin Esaslar’ın Ek 1’inci maddesinde belirtilen istisnalar hariç olmak üzere, kamu kurum ve kuruluşlarında sözleşmeli olarak mühendis, avukat, hemşire, diyetisyen ve büro personeli pozisyonlarında istihdam edilenlerin bu kılavuzda ilan edilen aynı unvanlı pozisyonlara yerleştirilmeleri halinde atamaları yapılmayacaktır.
2.1.4 Sosyal Güvenlik Kurumundan emeklilik veya yaşlılık aylığı alanların yerleştirilmeleri yapılmış olsa dahi atamaları yapılmayacaktır.
2.1.5 Yerleştirme işlemleri yapılan adaylar hakkında 7315 sayılı Güvenlik Soruşturması ve Arşiv Araştırması Kanununun 12’nci maddesine dayanılarak yürürlüğe konulan Güvenlik Soruşturması ve Arşiv Araştırması Yapılmasına Dair Yönetmelik gereğince güvenlik soruşturması ve arşiv araştırması yapılacaktır.
2.1.6 657 sayılı Devlet Memurları Kanununun 48’inci maddesinin (A) fıkrasının 1’inci bendi gereği bu tercih kılavuzunda yer alan sözleşmeli pozisyonları tercih edecek adayların Türk Vatandaşı olmaları gerekmektedir. (Bulgaristan’dan Türkiye’ye mecburi göç eden Türk soyundan olanlarda bu şartın aranmayacağı 27/06/1989 tarihli ve 375 sayılı KHK’nın geçici 5’inci maddesi ile hükme bağlanmıştır.) Bu kapsamda, ÖSYM Aday İşlemleri Sisteminde uyruğundan biri “T.C.” (Bulgaristan’dan göç dâhil) olarak kayıtlı olan adaylar KPSS’de tercih yapabilirler. ÖSYM Aday İşlemleri Sisteminde uyruk bilgisi “KKTC”, “2527 Sayılı Kanun Kapsamında Bulunanlar”, “Yabancı Uyruklular” ve/veya “Mavi Kartlı” olarak kayıtlı olan adaylar KPSS’de tercih yapamazlar.
2.2. BAŞVURMA ÖZEL ŞARTLARI
2.2.1. Sözleşmeli olarak istihdam edileceklerde aranacak genel şartlara ilave olarak;
a. Sözleşmeli mühendis, avukat, hemşire, diyetisyen ve büro personeli pozisyonları için aranan niteliklere ve şartlara haiz olmak. (Hangi bölüm mezunlarının alınacağı ve hangi şartları taşıması gerektiği pozisyonların karşısında yer almaktadır.)
b. Sağlık bakımından mühendis, avukat, hemşire, diyetisyen ve büro personeli olarak çalışmasına engel hali bulunmamak.
c. 2022-KPSS sonuçlarına göre lisans mezunları için KPSSP3 puanı almış olmak.
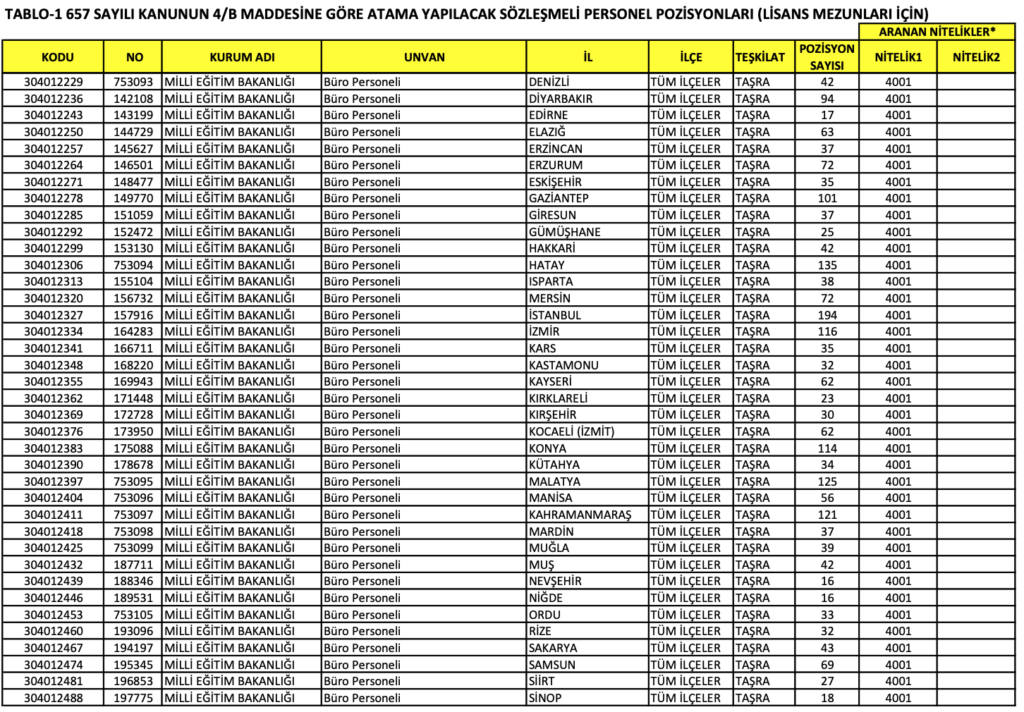
MEB BÜRO PERSONELİ ALIMI KONTENJANLARI



4001 nitelik kodu nedir?
4001 nitelik kodu herhangi bir lisans programından mezun olmak.


